• The Training Wheels for Good Habits

    The first icon-based watch that empowers kids by teaching good habits and the concept of time

  • iPhone Thumbnail
Video Thumbnail

More Than a Watch

  • Step 1

    2,500+ ICONS

    It links time to events thru 2,500+ icons, making it the first clock that young kids can actually read and understand.

  • Step 2

    SCHEDULER

    It's a scheduler for children that fosters responsibility, independence and self-esteem.

  • Step 3

    ASSISTANT

    It's an assistant that helps parents prioritize expectations and stay consistent with daily routines.

  • Step 4

    FITNESS TRACKER

    It's a fitness tracker that tracks physical activity and more.

Octopus Watch³ is the third-generation of our icon-based watch that empowers kids (2 to 12 yo) by teaching good habits and the concept of time, while also encouraging them to stay active with its fitness tracker. It develops functional skills, encourages independence, and helps follow daily routines to increase desirable behaviors.

  • SAFE

    Wireless connection turns on for only few seconds when the watch is charging to synchronize data

  • HAPTIC FEEDBACK

    Push optional gentle vibrations when a reminder pops up. (Doesn't emit sounds)

  • COLOR DISPLAY

    TFT-LCD, 262K colors, 1.3" Touch

  • EASY TO CHARGE

    The magnetic USB charging cable snaps to the watch

  • I.C.E

    Save up to 5 lines of important informations like phone numbers, allergies or blood type in case of emergency

  • STORAGE

    The internal memory can store up to 3,000 icons

  • HYPOALLERGENIC

    The band fits wrists with a circumference from 4.92 to 7.87 inches

  • EXTRA SMALL & LIGHT

    Only 11 grams (0.4 oz), 40mm casing, 12mm thin. THe smallest smartwatch on the market

  • NO DISTRACTIONS

    No games, no chats, no cameras, no sounds

For iOS and Android

Octopus Companion App

The Octopus Companion App allows parents and caregivers to set up the watch and track progress. It provides parenting tips and recommendations.

  • Set up visual and haptic schedules, track completion of tasks, track physical activity, set up In Case of Emergency (I.C.E)

  • Share data with other caregivers, control several watches, get parenting tips, add your own icons

  • Change watch faces, set up virtual rewards, create alarms

Smartphone App

Backed by Science

JOY is a behavioral platform that follows an adaptive coaching model. We are invested in creating unique wearables for individuals across the lifespan. JOY continues to grow its evidence-base by partnering with different organizations.

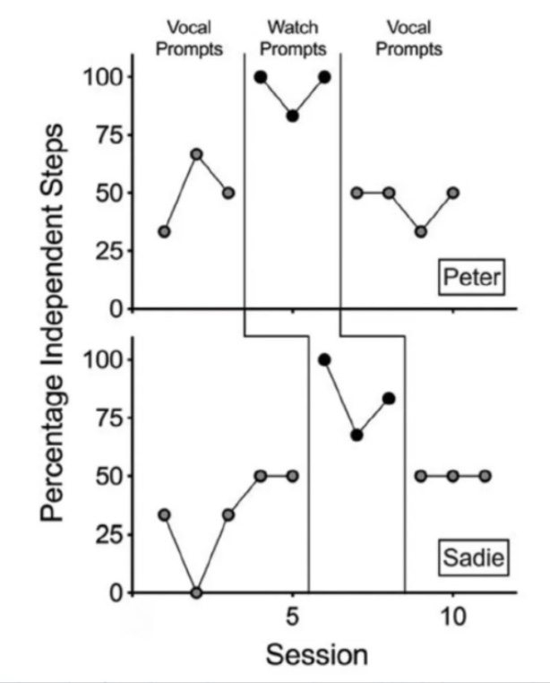
Featured Study

Wearable activity schedules to promote independence in young children, DOI: 10.1002/jaba.756 / PMID: 32767406. Corina Jimenez-Gomez et al.

Key findings

Children reliably displayed a greater proportion of independent engagement in target behaviors when prompts were delivered by the watch compared to control conditions.

Read the full study here.

What's New

Video Thumbnail

Achievements

  • Video Thumbnail

    $780K campaign

  • Image Thumbnail

    $1.45M campaign

  • Image Thumbnail

    Accelerated by HAX.co

  • Image Thumbnail

    CES Innovation Awards

“It has been an incredible tool for our daughter. She has gained a lot of independence at home and at school. Her teachers are absolutely thrilled and they have even recommended it to other students.”

Pricing

👋 We will not charge your credit card before the watch ships from our warehouse

  • Octopus Watch³

    $49

     

    • Includes:
    • 1 Octopus Watch³
    • 1 magnetic charging cable
    • 1 leaflet
    • * requires a Basic or Premium monthly subscription
  • Basic

    $9

    Billed per Month

    • Includes:
    • iOS/Android app
    • 500 icons
    • Virtual rewards
    • Support via email
  • Premium

    $14

    Billed per Month

    • Includes:
    • Includes everything in Basic, plus:
    • 1500 icons
    • shared access with other caregivers
    • web dashboard

As Seen In

Over 100M cumulative views on The Verge, NowThis Future, Circuit Breaker and many others.

Kids Love Octopus!





News